Heck Reaction: reaction scheme, intermediates, ChemOntology labels and their 3D-structures
Disclaimer: A total of 7,876 structures were obtained from three different studies. Intermediates were determined using multiple complex parameters within 3D coordinate space. As full manual validation was not performed, the possibility of errors or misclassifications in the analysis cannot be entirely ruled out.
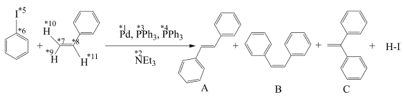
Heck reaction
Intermediates :
A SIMPLIFIED OVERVIEW OF THE ChemOntology METHODOLOGY
AFIR_TARGETS
- # structure : 0
- # structure : 1
- # structure : 2
- # structure : 3
- # structure : 4
- # structure : 5
- # structure : 6
- # structure : 7
- # structure : 8
- # structure : 9
- # structure : 10
- # structure : 11
- # structure : 12
- # structure : 13
- # structure : 14
- # structure : 15
- # structure : 16
- # structure : 17
- # structure : 18
- # structure : 19
- # structure : 20
- # structure : 21
- # structure : 22
- # structure : 23
- # structure : 24
- # structure : 25
- # structure : 26
- # structure : 27
- # structure : 28
- # structure : 29
- # structure : 30
- # structure : 31
- # structure : 32
- # structure : 33
- # structure : 34
- # structure : 35
- # structure : 36
- # structure : 37
- # structure : 38
- # structure : 39
- # structure : 40
- # structure : 41
- # structure : 42
- # structure : 43
- # structure : 44
- # structure : 45
- # structure : 46
- # structure : 47
- # structure : 48
- # structure : 49
- # structure : 50
- # structure : 51
- # structure : 52
- # structure : 53
- # structure : 54
- # structure : 55
- # structure : 56
- # structure : 57
- # structure : 58
- # structure : 59
- # structure : 60
- # structure : 61
- # structure : 62
- # structure : 63
- # structure : 64
- # structure : 65
- # structure : 66
- # structure : 67
- # structure : 68
- # structure : 69
- # structure : 70
- # structure : 71
- # structure : 72
- # structure : 73
- # structure : 74
- # structure : 75
- # structure : 76
- # structure : 77
- # structure : 78
- # structure : 79
- # structure : 80
- # structure : 81
- # structure : 82
- # structure : 83
- # structure : 84
- # structure : 85
- # structure : 86
- # structure : 87
- # structure : 88
- # structure : 89
- # structure : 90
- # structure : 91
- # structure : 92
- # structure : 93
- # structure : 94
- # structure : 95
- # structure : 96
- # structure : 97
- # structure : 98
- # structure : 99
- # structure : 100
- # structure : 101
- # structure : 102
- # structure : 103
- # structure : 104
- # structure : 105
- # structure : 106
- # structure : 107
- # structure : 108
- # structure : 109
- # structure : 110
- # structure : 111
- # structure : 112
- # structure : 113
- # structure : 114
- # structure : 115
- # structure : 116
- # structure : 117
- # structure : 118
- # structure : 119
- # structure : 120
- # structure : 121
- # structure : 122
- # structure : 123
- # structure : 124
- # structure : 125
- # structure : 126
- # structure : 127
- # structure : 128
- # structure : 129
- # structure : 130
- # structure : 131
- # structure : 132
- # structure : 133
- # structure : 134
- # structure : 135
- # structure : 136
- # structure : 137
- # structure : 138
- # structure : 139
- # structure : 140
- # structure : 141
- # structure : 142
- # structure : 143
- # structure : 144
- # structure : 145
- # structure : 146
- # structure : 147
- # structure : 148
- # structure : 149
- # structure : 150
- # structure : 151
- # structure : 152
- # structure : 153
- # structure : 154
- # structure : 155
- # structure : 156
- # structure : 157
- # structure : 158
- # structure : 159
- # structure : 160
- # structure : 161
- # structure : 162
- # structure : 163
- # structure : 164
- # structure : 165
- # structure : 166
- # structure : 167
- # structure : 168
- # structure : 169
- # structure : 170
- # structure : 171
- # structure : 172
- # structure : 173
- # structure : 174
- # structure : 175
- # structure : 176
- # structure : 177
- # structure : 178
- # structure : 179
- # structure : 180
- # structure : 181
- # structure : 182
- # structure : 183
- # structure : 184
- # structure : 185
- # structure : 186
- # structure : 187
- # structure : 188
- # structure : 189
- # structure : 190
- # structure : 191
- # structure : 192
- # structure : 193
- # structure : 194
- # structure : 195
- # structure : 196
- # structure : 197
- # structure : 198
- # structure : 199
- # structure : 200
- # structure : 201
- # structure : 202
- # structure : 203
- # structure : 204
- # structure : 205
- # structure : 206
- # structure : 207
- # structure : 208
- # structure : 209
- # structure : 210
- # structure : 211
- # structure : 212
- # structure : 213
- # structure : 214
- # structure : 215
- # structure : 216
- # structure : 217
- # structure : 218
- # structure : 219
- # structure : 220
- # structure : 221
- # structure : 222
- # structure : 223
- # structure : 224
- # structure : 225
- # structure : 226
- # structure : 227
- # structure : 228
- # structure : 229
- # structure : 230
- # structure : 231
- # structure : 232
- # structure : 233
- # structure : 234
- # structure : 235
- # structure : 236
- # structure : 237
- # structure : 238
- # structure : 239
- # structure : 240
- # structure : 241
- # structure : 242
- # structure : 243
- # structure : 244
- # structure : 245
- # structure : 246
- # structure : 247
- # structure : 248
- # structure : 249
- # structure : 250
- # structure : 251
- # structure : 252
- # structure : 253
- # structure : 254
- # structure : 255
- # structure : 256
- # structure : 257
- # structure : 258
- # structure : 259
- # structure : 260
- # structure : 261
- # structure : 262
- # structure : 263
- # structure : 264
- # structure : 265
- # structure : 266
- # structure : 267
- # structure : 268
- # structure : 269
- # structure : 270
- # structure : 271
- # structure : 272
- # structure : 273
- # structure : 274
- # structure : 275
- # structure : 276
- # structure : 277
- # structure : 278
- # structure : 279
- # structure : 280
- # structure : 281
- # structure : 282
- # structure : 283
- # structure : 284
- # structure : 285
- # structure : 286
- # structure : 287
- # structure : 288
- # structure : 289
- # structure : 290
- # structure : 291
- # structure : 292
- # structure : 293
- # structure : 294
- # structure : 295
- # structure : 296
- # structure : 297
- # structure : 298
- # structure : 299
- # structure : 300
- # structure : 301
- # structure : 302
- # structure : 303
- # structure : 304
- # structure : 305
- # structure : 306
- # structure : 307
- # structure : 308
- # structure : 309
- # structure : 310
- # structure : 311
- # structure : 312
- # structure : 313
- # structure : 314
- # structure : 315
- # structure : 316
- # structure : 317
- # structure : 318
- # structure : 319
- # structure : 320
- # structure : 321
- # structure : 322
- # structure : 323
- # structure : 324
- # structure : 325
- # structure : 326
- # structure : 327
- # structure : 328
- # structure : 329
- # structure : 330
- # structure : 331
- # structure : 332
- # structure : 333
- # structure : 334
- # structure : 335
- # structure : 336
- # structure : 337
- # structure : 338
- # structure : 339
- # structure : 340
- # structure : 341
- # structure : 342
- # structure : 343
- # structure : 344
- # structure : 345
- # structure : 346
- # structure : 347
- # structure : 348
- # structure : 349
- # structure : 350
- # structure : 351
- # structure : 352
- # structure : 353
- # structure : 354
- # structure : 355
- # structure : 356
- # structure : 357
- # structure : 358
- # structure : 359
- # structure : 360
- # structure : 361
- # structure : 362
- # structure : 363
- # structure : 364
- # structure : 365
- # structure : 366
- # structure : 367
- # structure : 368
- # structure : 369
- # structure : 370
- # structure : 371
- # structure : 372
- # structure : 373
- # structure : 374
- # structure : 375
- # structure : 376
- # structure : 377
- # structure : 378
- # structure : 379
- # structure : 380
- # structure : 381
- # structure : 382
- # structure : 383
- # structure : 384
- # structure : 385
- # structure : 386
- # structure : 387
- # structure : 388
- # structure : 389
- # structure : 390
- # structure : 391
- # structure : 392
- # structure : 393
- # structure : 394
- # structure : 395
- # structure : 396
- # structure : 397
- # structure : 398
- # structure : 399
- # structure : 400
- # structure : 401
- # structure : 402
- # structure : 403
- # structure : 404
- # structure : 405
- # structure : 406
- # structure : 407
- # structure : 408
- # structure : 409
- # structure : 410
- # structure : 411
- # structure : 412
- # structure : 413
- # structure : 414
- # structure : 415
- # structure : 416
- # structure : 417
- # structure : 418
- # structure : 419
- # structure : 420
- # structure : 421
- # structure : 422
- # structure : 423
- # structure : 424
- # structure : 425
- # structure : 426
- # structure : 427
- # structure : 428
- # structure : 429
- # structure : 430
- # structure : 431
- # structure : 432
- # structure : 433
- # structure : 434
- # structure : 435
- # structure : 436
- # structure : 437
- # structure : 438
- # structure : 439
- # structure : 440
- # structure : 441
- # structure : 442
- # structure : 443
- # structure : 444
- # structure : 445
- # structure : 446
- # structure : 447
- # structure : 448
- # structure : 449
- # structure : 450
- # structure : 451
- # structure : 452
- # structure : 453
- # structure : 454
- # structure : 455
- # structure : 456
- # structure : 457
- # structure : 458
- # structure : 459
- # structure : 460
- # structure : 461
- # structure : 462
- # structure : 463
- # structure : 464
- # structure : 465
- # structure : 466
- # structure : 467
- # structure : 468
- # structure : 469
- # structure : 470
- # structure : 471
- # structure : 472
- # structure : 473
- # structure : 474
- # structure : 475
- # structure : 476
- # structure : 477
- # structure : 478
- # structure : 479
- # structure : 480
- # structure : 481
- # structure : 482
- # structure : 483
- # structure : 484
- # structure : 485
- # structure : 486
- # structure : 487
- # structure : 488
- # structure : 489
- # structure : 490
- # structure : 491
- # structure : 492
- # structure : 493
- # structure : 494
- # structure : 495
- # structure : 496
- # structure : 497
- # structure : 498
- # structure : 499
- # structure : 500
- # structure : 501
- # structure : 502
- # structure : 503
- # structure : 504
- # structure : 505
- # structure : 506
- # structure : 507
- # structure : 508
- # structure : 509
- # structure : 510
- # structure : 511
- # structure : 512
- # structure : 513
- # structure : 514
- # structure : 515
- # structure : 516
- # structure : 517
- # structure : 518
- # structure : 519
- # structure : 520
- # structure : 521
- # structure : 522
- # structure : 523
- # structure : 524
- # structure : 525
- # structure : 526
- # structure : 527
- # structure : 528
- # structure : 529
- # structure : 530
- # structure : 531
- # structure : 532
- # structure : 533
- # structure : 534
- # structure : 535
- # structure : 536
- # structure : 537
- # structure : 538
- # structure : 539
- # structure : 540
- # structure : 541
- # structure : 542
- # structure : 543
- # structure : 544
- # structure : 545
- # structure : 546
- # structure : 547
- # structure : 548
- # structure : 549
- # structure : 550
- # structure : 551
- # structure : 552
- # structure : 553
- # structure : 554
- # structure : 555
- # structure : 556
- # structure : 557
- # structure : 558
- # structure : 559
- # structure : 560
- # structure : 561
- # structure : 562
- # structure : 563
- # structure : 564
- # structure : 565
- # structure : 566
- # structure : 567
- # structure : 568
- # structure : 569
- # structure : 570
- # structure : 571
- # structure : 572
- # structure : 573
- # structure : 574
- # structure : 575
- # structure : 576
- # structure : 577
- # structure : 578
- # structure : 579
- # structure : 580
- # structure : 581
- # structure : 582
- # structure : 583
- # structure : 584
- # structure : 585
- # structure : 586
- # structure : 587
- # structure : 588
- # structure : 589
- # structure : 590
- # structure : 591
- # structure : 592
- # structure : 593
- # structure : 594
- # structure : 595
- # structure : 596
- # structure : 597
- # structure : 598
- # structure : 599
- # structure : 600
- # structure : 601
- # structure : 602
- # structure : 603
- # structure : 604
- # structure : 605
- # structure : 606
- # structure : 607
- # structure : 608
- # structure : 609
- # structure : 610
- # structure : 611
- # structure : 612
- # structure : 613
- # structure : 614
- # structure : 615
- # structure : 616
- # structure : 617
- # structure : 618
- # structure : 619
- # structure : 620
- # structure : 621
- # structure : 622
- # structure : 623
- # structure : 624
- # structure : 625
- # structure : 626
- # structure : 627
- # structure : 628
- # structure : 629
- # structure : 630
- # structure : 631
- # structure : 632
- # structure : 633
- # structure : 634
- # structure : 635
- # structure : 636
- # structure : 637
- # structure : 638
- # structure : 639
- # structure : 640
- # structure : 641
- # structure : 642
- # structure : 643
- # structure : 644
- # structure : 645
- # structure : 646
- # structure : 647
- # structure : 648
- # structure : 649
- # structure : 650
- # structure : 651
- # structure : 652
- # structure : 653
- # structure : 654
- # structure : 655
- # structure : 656
- # structure : 657
- # structure : 658
- # structure : 659
- # structure : 660
- # structure : 661
- # structure : 662
- # structure : 663
- # structure : 664
- # structure : 665
- # structure : 666
- # structure : 667
- # structure : 668
- # structure : 669
- # structure : 670
- # structure : 671
- # structure : 672
- # structure : 673
- # structure : 674
- # structure : 675
- # structure : 676
- # structure : 677
- # structure : 678
- # structure : 679
- # structure : 680
- # structure : 681
- # structure : 682
- # structure : 683
- # structure : 684
- # structure : 685
- # structure : 686
- # structure : 687
- # structure : 688
- # structure : 689
- # structure : 690
- # structure : 691
- # structure : 692
- # structure : 693
- # structure : 694
- # structure : 695
- # structure : 696
- # structure : 697
- # structure : 698
- # structure : 699
- # structure : 700
- # structure : 701
- # structure : 702
- # structure : 703
- # structure : 704
- # structure : 705
- # structure : 706
- # structure : 707
- # structure : 708
- # structure : 709
- # structure : 710
- # structure : 711
- # structure : 712
- # structure : 713
- # structure : 714
- # structure : 715
- # structure : 716
- # structure : 717
- # structure : 718
- # structure : 719
- # structure : 720
- # structure : 721
- # structure : 722
- # structure : 723
- # structure : 724
- # structure : 725
- # structure : 726
- # structure : 727
- # structure : 728
- # structure : 729
- # structure : 730
- # structure : 731
- # structure : 732
- # structure : 733
- # structure : 734
- # structure : 735
- # structure : 736
- # structure : 737
- # structure : 738
- # structure : 739
- # structure : 740
- # structure : 741
- # structure : 742
- # structure : 743
- # structure : 744
- # structure : 745
- # structure : 746
- # structure : 747
- # structure : 748
- # structure : 749
- # structure : 750
- # structure : 751
- # structure : 752
- # structure : 753
- # structure : 754
- # structure : 755
- # structure : 756
- # structure : 757
- # structure : 758
- # structure : 759
- # structure : 760
- # structure : 761
- # structure : 762
- # structure : 763
- # structure : 764
- # structure : 765
- # structure : 766
- # structure : 767
- # structure : 768
- # structure : 769
- # structure : 770
- # structure : 771
- # structure : 772
- # structure : 773
- # structure : 774
- # structure : 775
- # structure : 776
- # structure : 777
- # structure : 778
- # structure : 779
- # structure : 780
- # structure : 781
- # structure : 782
- # structure : 783
- # structure : 784
- # structure : 785
- # structure : 786
- # structure : 787
- # structure : 788
- # structure : 789
- # structure : 790
- # structure : 791
- # structure : 792
- # structure : 793
- # structure : 794
- # structure : 795
- # structure : 796
- # structure : 797
- # structure : 798
- # structure : 799
- # structure : 800
- # structure : 801
- # structure : 802
- # structure : 803
- # structure : 804
- # structure : 805
- # structure : 806
- # structure : 807
- # structure : 808
- # structure : 809
- # structure : 810
- # structure : 811
- # structure : 812
- # structure : 813
- # structure : 814
- # structure : 815
- # structure : 816
- # structure : 817
- # structure : 818
- # structure : 819
- # structure : 820
- # structure : 821
- # structure : 822
- # structure : 823
- # structure : 824
- # structure : 825
- # structure : 826
- # structure : 827
- # structure : 828
- # structure : 829
- # structure : 830
- # structure : 831
- # structure : 832
- # structure : 833
- # structure : 834
- # structure : 835
- # structure : 836
- # structure : 837
- # structure : 838
- # structure : 839
- # structure : 840
- # structure : 841
- # structure : 842
- # structure : 843
- # structure : 844
- # structure : 845
- # structure : 846
- # structure : 847
- # structure : 848
- # structure : 849
- # structure : 850
- # structure : 851
- # structure : 852
- # structure : 853
- # structure : 854
- # structure : 855
- # structure : 856
- # structure : 857
- # structure : 858
- # structure : 859
- # structure : 860
- # structure : 861
- # structure : 862
- # structure : 863
- # structure : 864
- # structure : 865
- # structure : 866
- # structure : 867
- # structure : 868
- # structure : 869
- # structure : 870
- # structure : 871
- # structure : 872
- # structure : 873
- # structure : 874
- # structure : 875
- # structure : 876
- # structure : 877
- # structure : 878
- # structure : 879
- # structure : 880
- # structure : 881
- # structure : 882
- # structure : 883
- # structure : 884
- # structure : 885
- # structure : 886
- # structure : 887
- # structure : 888
- # structure : 889
- # structure : 890
- # structure : 891
- # structure : 892
- # structure : 893
- # structure : 894
- # structure : 895
- # structure : 896
- # structure : 897
- # structure : 898
- # structure : 899
- # structure : 900
- # structure : 901
- # structure : 902
- # structure : 903
- # structure : 904
- # structure : 905
- # structure : 906
- # structure : 907
- # structure : 908
- # structure : 909
- # structure : 910
- # structure : 911
- # structure : 912
- # structure : 913
- # structure : 914
- # structure : 915
- # structure : 916
- # structure : 917
- # structure : 918
- # structure : 919
- # structure : 920
- # structure : 921
- # structure : 922
- # structure : 923
- # structure : 924
- # structure : 925
- # structure : 926
- # structure : 927
- # structure : 928
- # structure : 929
- # structure : 930
- # structure : 931
- # structure : 932
- # structure : 933
- # structure : 934
- # structure : 935
- # structure : 936
- # structure : 937
- # structure : 938
- # structure : 939
- # structure : 940
- # structure : 941
- # structure : 942
- # structure : 943
- # structure : 944
- # structure : 945
- # structure : 946
- # structure : 947
- # structure : 948
- # structure : 949
- # structure : 950
- # structure : 951
- # structure : 952
- # structure : 953
- # structure : 954
- # structure : 955
- # structure : 956
- # structure : 957
- # structure : 958
- # structure : 959
- # structure : 960
- # structure : 961
- # structure : 962
- # structure : 963
- # structure : 964
- # structure : 965
- # structure : 966
- # structure : 967
- # structure : 968
- # structure : 969
- # structure : 970
- # structure : 971
- # structure : 972
- # structure : 973
- # structure : 974
- # structure : 975
- # structure : 976
- # structure : 977
- # structure : 978
- # structure : 979
- # structure : 980
- # structure : 981
- # structure : 982
- # structure : 983
- # structure : 984
- # structure : 985
- # structure : 986
- # structure : 987
- # structure : 988
- # structure : 989
- # structure : 990
- # structure : 991
- # structure : 992
- # structure : 993
- # structure : 994
- # structure : 995
- # structure : 996
- # structure : 997
- # structure : 998
- # structure : 999
- # structure : 1000
- # structure : 1001
- # structure : 1002
- # structure : 1003
- # structure : 1004
- # structure : 1005
- # structure : 1006
- # structure : 1007
- # structure : 1008
- # structure : 1009
- # structure : 1010
- # structure : 1011
- # structure : 1012
- # structure : 1013
- # structure : 1014
- # structure : 1015
- # structure : 1016
- # structure : 1017
- # structure : 1018
- # structure : 1019
- # structure : 1020
- # structure : 1021
- # structure : 1022
- # structure : 1023
- # structure : 1024
- # structure : 1025
- # structure : 1026
- # structure : 1027
- # structure : 1028
- # structure : 1029
- # structure : 1030
- # structure : 1031
- # structure : 1032
- # structure : 1033
- # structure : 1034
- # structure : 1035
- # structure : 1036
- # structure : 1037
- # structure : 1038
- # structure : 1039
- # structure : 1040
- # structure : 1041
- # structure : 1042
- # structure : 1043
- # structure : 1044
- # structure : 1045
- # structure : 1046
- # structure : 1047
- # structure : 1048
- # structure : 1049
- # structure : 1050
- # structure : 1051
- # structure : 1052
- # structure : 1053
- # structure : 1054
- # structure : 1055
- # structure : 1056
- # structure : 1057
- # structure : 1058
- # structure : 1059
- # structure : 1060
- # structure : 1061
- # structure : 1062
- # structure : 1063
- # structure : 1064
- # structure : 1065
- # structure : 1066
- # structure : 1067
- # structure : 1068
- # structure : 1069
- # structure : 1070
- # structure : 1071
- # structure : 1072
- # structure : 1073
- # structure : 1074
- # structure : 1075
- # structure : 1076
- # structure : 1077
- # structure : 1078
- # structure : 1079
- # structure : 1080
- # structure : 1081
- # structure : 1082
- # structure : 1083
- # structure : 1084
- # structure : 1085
- # structure : 1086
- # structure : 1087
- # structure : 1088
- # structure : 1089
- # structure : 1090
- # structure : 1091
- # structure : 1092
- # structure : 1093
- # structure : 1094
- # structure : 1095
- # structure : 1096
- # structure : 1097
- # structure : 1098
- # structure : 1099
- # structure : 1100
- # structure : 1101
- # structure : 1102
- # structure : 1103
- # structure : 1104
- # structure : 1105
- # structure : 1106
- # structure : 1107
- # structure : 1108
- # structure : 1109
- # structure : 1110
- # structure : 1111
- # structure : 1112
- # structure : 1113
- # structure : 1114
- # structure : 1115
- # structure : 1116
- # structure : 1117
- # structure : 1118
- # structure : 1119
- # structure : 1120
- # structure : 1121
- # structure : 1122
- # structure : 1123
- # structure : 1124
- # structure : 1125
- # structure : 1126
- # structure : 1127
- # structure : 1128
- # structure : 1129
- # structure : 1130
- # structure : 1131
- # structure : 1132
- # structure : 1133
- # structure : 1134
- # structure : 1135
- # structure : 1136
- # structure : 1137
- # structure : 1138
- # structure : 1139
- # structure : 1140
- # structure : 1141
- # structure : 1142
- # structure : 1143
- # structure : 1144
- # structure : 1145
- # structure : 1146
- # structure : 1147
- # structure : 1148
- # structure : 1149
- # structure : 1150
- # structure : 1151
- # structure : 1152
- # structure : 1153
- # structure : 1154
- # structure : 1155
- # structure : 1156
- # structure : 1157
- # structure : 1158
- # structure : 1159
- # structure : 1160
- # structure : 1161
- # structure : 1162
- # structure : 1163
- # structure : 1164
- # structure : 1165
- # structure : 1166
- # structure : 1167
- # structure : 1168
- # structure : 1169
- # structure : 1170
- # structure : 1171
- # structure : 1172
- # structure : 1173
- # structure : 1174
- # structure : 1175
- # structure : 1176
- # structure : 1177
- # structure : 1178
- # structure : 1179
- # structure : 1180
- # structure : 1181
- # structure : 1182
- # structure : 1183
- # structure : 1184
- # structure : 1185
- # structure : 1186
- # structure : 1187
- # structure : 1188
- # structure : 1189
- # structure : 1190
- # structure : 1191
- # structure : 1192
- # structure : 1193
- # structure : 1194
- # structure : 1195
- # structure : 1196
- # structure : 1197
- # structure : 1198
- # structure : 1199
- # structure : 1200
- # structure : 1201
- # structure : 1202
- # structure : 1203
- # structure : 1204
- # structure : 1205
- # structure : 1206
- # structure : 1207
- # structure : 1208
- # structure : 1209
- # structure : 1210
- # structure : 1211
- # structure : 1212
- # structure : 1213
- # structure : 1214
- # structure : 1215
- # structure : 1216
- # structure : 1217
- # structure : 1218
- # structure : 1219
- # structure : 1220
- # structure : 1221
- # structure : 1222
- # structure : 1223
- # structure : 1224
- # structure : 1225
- # structure : 1226
- # structure : 1227
- # structure : 1228
- # structure : 1229
- # structure : 1230
- # structure : 1231
- # structure : 1232
- # structure : 1233
- # structure : 1234
- # structure : 1235
- # structure : 1236
- # structure : 1237
- # structure : 1238
- # structure : 1239
- # structure : 1240
- # structure : 1241
- # structure : 1242
- # structure : 1243
- # structure : 1244
- # structure : 1245
- # structure : 1246
- # structure : 1247
- # structure : 1248
- # structure : 1249
- # structure : 1250
- # structure : 1251
- # structure : 1252
- # structure : 1253
- # structure : 1254
- # structure : 1255
- # structure : 1256
- # structure : 1257
- # structure : 1258
- # structure : 1259
- # structure : 1260
- # structure : 1261
- # structure : 1262
- # structure : 1263
- # structure : 1264
- # structure : 1265
- # structure : 1266
- # structure : 1267
- # structure : 1268
- # structure : 1269
- # structure : 1270
- # structure : 1271
- # structure : 1272
- # structure : 1273
- # structure : 1274
- # structure : 1275
- # structure : 1276
- # structure : 1277
- # structure : 1278
- # structure : 1279
- # structure : 1280
- # structure : 1281
- # structure : 1282
- # structure : 1283
- # structure : 1284
- # structure : 1285
- # structure : 1286
- # structure : 1287
- # structure : 1288
- # structure : 1289
- # structure : 1290
- # structure : 1291
- # structure : 1292
- # structure : 1293
- # structure : 1294
- # structure : 1295
- # structure : 1296
- # structure : 1297
- # structure : 1298
- # structure : 1299
- # structure : 1300
- # structure : 1301
- # structure : 1302
- # structure : 1303
- # structure : 1304
- # structure : 1305
- # structure : 1306
- # structure : 1307
- # structure : 1308
- # structure : 1309
- # structure : 1310
- # structure : 1311
- # structure : 1312
- # structure : 1313
- # structure : 1314
- # structure : 1315
- # structure : 1316
- # structure : 1317
- # structure : 1318
- # structure : 1319
- # structure : 1320
- # structure : 1321
- # structure : 1322
- # structure : 1323
- # structure : 1324
- # structure : 1325
- # structure : 1326
- # structure : 1327
- # structure : 1328
- # structure : 1329
- # structure : 1330
- # structure : 1331
- # structure : 1332
- # structure : 1333
- # structure : 1334
- # structure : 1335
- # structure : 1336
- # structure : 1337
- # structure : 1338
- # structure : 1339
- # structure : 1340
- # structure : 1341
- # structure : 1342
- # structure : 1343
- # structure : 1344
- # structure : 1345
- # structure : 1346
- # structure : 1347
- # structure : 1348
- # structure : 1349
- # structure : 1350
- # structure : 1351
- # structure : 1352
- # structure : 1353
- # structure : 1354
- # structure : 1355
- # structure : 1356
- # structure : 1357
- # structure : 1358
- # structure : 1359
- # structure : 1360
- # structure : 1361
- # structure : 1362
- # structure : 1363
- # structure : 1364
- # structure : 1365
- # structure : 1366
- # structure : 1367
- # structure : 1368
- # structure : 1369
- # structure : 1370
- # structure : 1371
- # structure : 1372
- # structure : 1373
- # structure : 1374
- # structure : 1375
- # structure : 1376
- # structure : 1377
- # structure : 1378
- # structure : 1379
- # structure : 1380
- # structure : 1381
- # structure : 1382
- # structure : 1383
- # structure : 1384
- # structure : 1385
- # structure : 1386
- # structure : 1387
- # structure : 1388
- # structure : 1389
- # structure : 1390
- # structure : 1391
- # structure : 1392
- # structure : 1393
- # structure : 1394
- # structure : 1395
- # structure : 1396
- # structure : 1397
- # structure : 1398
- # structure : 1399
- # structure : 1400
- # structure : 1401
- # structure : 1402
- # structure : 1403
- # structure : 1404
- # structure : 1405
- # structure : 1406
- # structure : 1407
- # structure : 1408
- # structure : 1409
- # structure : 1410
- # structure : 1411
- # structure : 1412
- # structure : 1413
- # structure : 1414
- # structure : 1415
- # structure : 1416
- # structure : 1417
- # structure : 1418
- # structure : 1419
- # structure : 1420
- # structure : 1421
- # structure : 1422
- # structure : 1423
- # structure : 1424
- # structure : 1425
- # structure : 1426
- # structure : 1427
- # structure : 1428
- # structure : 1429
- # structure : 1430
- # structure : 1431
- # structure : 1432
- # structure : 1433
- # structure : 1434
- # structure : 1435
- # structure : 1436
- # structure : 1437
- # structure : 1438
- # structure : 1439
- # structure : 1440
- # structure : 1441
- # structure : 1442
- # structure : 1443
- # structure : 1444
- # structure : 1445
- # structure : 1446
- # structure : 1447
- # structure : 1448
- # structure : 1449
- # structure : 1450
- # structure : 1451
- # structure : 1452
- # structure : 1453
- # structure : 1454
- # structure : 1455
- # structure : 1456
- # structure : 1457
- # structure : 1458
- # structure : 1459
- # structure : 1460
- # structure : 1461
- # structure : 1462
- # structure : 1463
- # structure : 1464
- # structure : 1465
- # structure : 1466
- # structure : 1467
- # structure : 1468
- # structure : 1469
- # structure : 1470
- # structure : 1471
- # structure : 1472
- # structure : 1473
- # structure : 1474
- # structure : 1475
- # structure : 1476
- # structure : 1477
- # structure : 1478
- # structure : 1479
- # structure : 1480
- # structure : 1481
- # structure : 1482
- # structure : 1483
- # structure : 1484
- # structure : 1485
- # structure : 1486
- # structure : 1487
- # structure : 1488
- # structure : 1489
- # structure : 1490
- # structure : 1491
- # structure : 1492
- # structure : 1493
- # structure : 1494
- # structure : 1495
- # structure : 1496
- # structure : 1497
- # structure : 1498
- # structure : 1499
- # structure : 1500
- # structure : 1501
- # structure : 1502
- # structure : 1503
- # structure : 1504
- # structure : 1505
- # structure : 1506
- # structure : 1507
- # structure : 1508
- # structure : 1509
- # structure : 1510
- # structure : 1511
- # structure : 1512
- # structure : 1513
- # structure : 1514
- # structure : 1515
- # structure : 1516
- # structure : 1517
- # structure : 1518
- # structure : 1519
- # structure : 1520
- # structure : 1521
- # structure : 1522
- # structure : 1523
- # structure : 1524
- # structure : 1525
- # structure : 1526
- # structure : 1527
- # structure : 1528
- # structure : 1529
- # structure : 1530
- # structure : 1531
- # structure : 1532
- # structure : 1533
- # structure : 1534
- # structure : 1535
- # structure : 1536
- # structure : 1537
- # structure : 1538
- # structure : 1539
- # structure : 1540
- # structure : 1541
- # structure : 1542
- # structure : 1543
- # structure : 1544
- # structure : 1545
- # structure : 1546
- # structure : 1547
- # structure : 1548
- # structure : 1549
- # structure : 1550
- # structure : 1551
- # structure : 1552
- # structure : 1553
- # structure : 1554
- # structure : 1555
- # structure : 1556
- # structure : 1557
- # structure : 1558
- # structure : 1559
- # structure : 1560
- # structure : 1561
- # structure : 1562
- # structure : 1563
- # structure : 1564
- # structure : 1565
- # structure : 1566
- # structure : 1567
- # structure : 1568
- # structure : 1569
- # structure : 1570
- # structure : 1571
- # structure : 1572
- # structure : 1573
- # structure : 1574
- # structure : 1575
- # structure : 1576
- # structure : 1577
- # structure : 1578
- # structure : 1579
- # structure : 1580
- # structure : 1581
- # structure : 1582
- # structure : 1583
- # structure : 1584
- # structure : 1585
- # structure : 1586
- # structure : 1587
- # structure : 1588
- # structure : 1589
- # structure : 1590
- # structure : 1591
- # structure : 1592
- # structure : 1593
- # structure : 1594
- # structure : 1595
- # structure : 1596
- # structure : 1597
- # structure : 1598
- # structure : 1599
- # structure : 1600
- # structure : 1601
- # structure : 1602
- # structure : 1603
- # structure : 1604
- # structure : 1605
- # structure : 1606
- # structure : 1607
- # structure : 1608
- # structure : 1609
- # structure : 1610
- # structure : 1611
- # structure : 1612
- # structure : 1613
- # structure : 1614
- # structure : 1615
- # structure : 1616
- # structure : 1617
- # structure : 1618
- # structure : 1619
- # structure : 1620
- # structure : 1621
- # structure : 1622
- # structure : 1623
- # structure : 1624
- # structure : 1625
- # structure : 1626
- # structure : 1627
- # structure : 1628
- # structure : 1629
- # structure : 1630
- # structure : 1631
- # structure : 1632
- # structure : 1633
- # structure : 1634
- # structure : 1635
- # structure : 1636
- # structure : 1637
- # structure : 1638
- # structure : 1639
- # structure : 1640
- # structure : 1641
- # structure : 1642
- # structure : 1643
- # structure : 1644
- # structure : 1645
- # structure : 1646
- # structure : 1647
- # structure : 1648
- # structure : 1649
- # structure : 1650
- # structure : 1651
- # structure : 1652
- # structure : 1653
- # structure : 1654
- # structure : 1655
- # structure : 1656
- # structure : 1657
- # structure : 1658
- # structure : 1659
- # structure : 1660
- # structure : 1661
- # structure : 1662
- # structure : 1663
- # structure : 1664
- # structure : 1665
- # structure : 1666
- # structure : 1667
- # structure : 1668
- # structure : 1669
- # structure : 1670
- # structure : 1671
- # structure : 1672
- # structure : 1673
- # structure : 1674
- # structure : 1675
- # structure : 1676
- # structure : 1677
- # structure : 1678
- # structure : 1679
- # structure : 1680
- # structure : 1681
- # structure : 1682
- # structure : 1683
- # structure : 1684
- # structure : 1685
- # structure : 1686
- # structure : 1687
- # structure : 1688
- # structure : 1689
- # structure : 1690
- # structure : 1691
- # structure : 1692
- # structure : 1693
- # structure : 1694
- # structure : 1695
- # structure : 1696
- # structure : 1697
- # structure : 1698
- # structure : 1699
- # structure : 1700
- # structure : 1701
- # structure : 1702
- # structure : 1703
- # structure : 1704
- # structure : 1705
- # structure : 1706
- # structure : 1707
- # structure : 1708
- # structure : 1709
- # structure : 1710
- # structure : 1711
- # structure : 1712
- # structure : 1713
- # structure : 1714
- # structure : 1715
- # structure : 1716
- # structure : 1717
- # structure : 1718
- # structure : 1719
- # structure : 1720
- # structure : 1721
- # structure : 1722
- # structure : 1723
- # structure : 1724
- # structure : 1725
- # structure : 1726
- # structure : 1727
- # structure : 1728
- # structure : 1729
- # structure : 1730
- # structure : 1731
- # structure : 1732
- # structure : 1733
- # structure : 1734
- # structure : 1735
- # structure : 1736
- # structure : 1737
- # structure : 1738
- # structure : 1739
- # structure : 1740
- # structure : 1741
- # structure : 1742
- # structure : 1743
- # structure : 1744
- # structure : 1745
- # structure : 1746
- # structure : 1747
- # structure : 1748
- # structure : 1749
- # structure : 1750
- # structure : 1751
- # structure : 1752
- # structure : 1753
- # structure : 1754
- # structure : 1755
- # structure : 1756
- # structure : 1757
- # structure : 1758
- # structure : 1759
- # structure : 1760
- # structure : 1761
- # structure : 1762
- # structure : 1763
- # structure : 1764
- # structure : 1765
- # structure : 1766
- # structure : 1767
- # structure : 1768
- # structure : 1769
- # structure : 1770
- # structure : 1771
- # structure : 1772
- # structure : 1773
- # structure : 1774
- # structure : 1775
- # structure : 1776
- # structure : 1777
- # structure : 1778
- # structure : 1779
- # structure : 1780
- # structure : 1781
- # structure : 1782
- # structure : 1783
- # structure : 1784
- # structure : 1785
- # structure : 1786
- # structure : 1787
- # structure : 1788
- # structure : 1789
- # structure : 1790
- # structure : 1791
- # structure : 1792
- # structure : 1793
- # structure : 1794
- # structure : 1795
- # structure : 1796
- # structure : 1797
- # structure : 1798
- # structure : 1799
- # structure : 1800
- # structure : 1801
- # structure : 1802
- # structure : 1803
- # structure : 1804
- # structure : 1805
- # structure : 1806
- # structure : 1807
- # structure : 1808
- # structure : 1809
- # structure : 1810
- # structure : 1811
- # structure : 1812
- # structure : 1813
- # structure : 1814
- # structure : 1815
- # structure : 1816
- # structure : 1817
- # structure : 1818
- # structure : 1819
- # structure : 1820
- # structure : 1821
- # structure : 1822
- # structure : 1823
- # structure : 1824
- # structure : 1825
- # structure : 1826
- # structure : 1827
- # structure : 1828
- # structure : 1829
- # structure : 1830
- # structure : 1831
- # structure : 1832
- # structure : 1833
- # structure : 1834
- # structure : 1835
- # structure : 1836
- # structure : 1837
- # structure : 1838
- # structure : 1839
- # structure : 1840
- # structure : 1841
- # structure : 1842
- # structure : 1843
- # structure : 1844
- # structure : 1845
- # structure : 1846
- # structure : 1847
- # structure : 1848
- # structure : 1849
- # structure : 1850
- # structure : 1851
- # structure : 1852
- # structure : 1853
- # structure : 1854
- # structure : 1855
- # structure : 1856
- # structure : 1857
- # structure : 1858
- # structure : 1859
- # structure : 1860
- # structure : 1861
- # structure : 1862
- # structure : 1863
- # structure : 1864
- # structure : 1865
- # structure : 1866
- # structure : 1867
- # structure : 1868
- # structure : 1869
- # structure : 1870
- # structure : 1871
- # structure : 1872
- # structure : 1873
- # structure : 1874
- # structure : 1875
- # structure : 1876
- # structure : 1877
- # structure : 1878
- # structure : 1879
- # structure : 1880
- # structure : 1881
- # structure : 1882
- # structure : 1883
- # structure : 1884
- # structure : 1885
- # structure : 1886
- # structure : 1887
- # structure : 1888
- # structure : 1889
- # structure : 1890
- # structure : 1891
- # structure : 1892
- # structure : 1893
- # structure : 1894
- # structure : 1895
- # structure : 1896
- # structure : 1897
- # structure : 1898
- # structure : 1899
- # structure : 1900
- # structure : 1901
- # structure : 1902
- # structure : 1903
- # structure : 1904
- # structure : 1905
- # structure : 1906
- # structure : 1907
- # structure : 1908
- # structure : 1909
- # structure : 1910
- # structure : 1911
- # structure : 1912
- # structure : 1913
- # structure : 1914
- # structure : 1915
- # structure : 1916
- # structure : 1917
- # structure : 1918
- # structure : 1919
- # structure : 1920
- # structure : 1921
- # structure : 1922
- # structure : 1923
- # structure : 1924
- # structure : 1925
- # structure : 1926
- # structure : 1927
- # structure : 1928
- # structure : 1929
- # structure : 1930
- # structure : 1931
- # structure : 1932
- # structure : 1933
- # structure : 1934
- # structure : 1935
- # structure : 1936
- # structure : 1937
- # structure : 1938
- # structure : 1939
- # structure : 1940
- # structure : 1941
- # structure : 1942
- # structure : 1943
- # structure : 1944
- # structure : 1945
- # structure : 1946
- # structure : 1947
- # structure : 1948
- # structure : 1949
- # structure : 1950
- # structure : 1951
- # structure : 1952
- # structure : 1953
- # structure : 1954
- # structure : 1955
- # structure : 1956
- # structure : 1957
- # structure : 1958
- # structure : 1959
- # structure : 1960
- # structure : 1961
- # structure : 1962
- # structure : 1963
- # structure : 1964
- # structure : 1965
- # structure : 1966
- # structure : 1967
- # structure : 1968
- # structure : 1969
- # structure : 1970
- # structure : 1971
- # structure : 1972
- # structure : 1973
- # structure : 1974
- # structure : 1975
- # structure : 1976
- # structure : 1977
- # structure : 1978
- # structure : 1979
- # structure : 1980
- # structure : 1981
- # structure : 1982
- # structure : 1983
- # structure : 1984
- # structure : 1985
- # structure : 1986
- # structure : 1987
- # structure : 1988
- # structure : 1989
- # structure : 1990
- # structure : 1991
- # structure : 1992
- # structure : 1993
- # structure : 1994
- # structure : 1995
- # structure : 1996
- # structure : 1997
- # structure : 1998
- # structure : 1999
- # structure : 2000
- # structure : 2001
- # structure : 2002
- # structure : 2003
- # structure : 2004
- # structure : 2005
- # structure : 2006
- # structure : 2007
- # structure : 2008
- # structure : 2009
- # structure : 2010
- # structure : 2011
- # structure : 2012
- # structure : 2013
- # structure : 2014
- # structure : 2015
- # structure : 2016
- # structure : 2017
- # structure : 2018
- # structure : 2019
- # structure : 2020
- # structure : 2021
- # structure : 2022
- # structure : 2023
- # structure : 2024
- # structure : 2025
- # structure : 2026
- # structure : 2027
- # structure : 2028
- # structure : 2029
- # structure : 2030
- # structure : 2031
- # structure : 2032
- # structure : 2033
- # structure : 2034
- # structure : 2035
- # structure : 2036
- # structure : 2037
- # structure : 2038
- # structure : 2039
- # structure : 2040
- # structure : 2041
- # structure : 2042
- # structure : 2043
- # structure : 2044
- # structure : 2045
- # structure : 2046
- # structure : 2047
- # structure : 2048
- # structure : 2049
- # structure : 2050
- # structure : 2051
- # structure : 2052
- # structure : 2053
- # structure : 2054
- # structure : 2055
- # structure : 2056
- # structure : 2057
- # structure : 2058
- # structure : 2059
- # structure : 2060
- # structure : 2061
- # structure : 2062
- # structure : 2063
- # structure : 2064
- # structure : 2065
- # structure : 2066
- # structure : 2067
- # structure : 2068
- # structure : 2069
- # structure : 2070
- # structure : 2071
- # structure : 2072
- # structure : 2073
- # structure : 2074
- # structure : 2075
- # structure : 2076
- # structure : 2077
- # structure : 2078
- # structure : 2079
- # structure : 2080
- # structure : 2081
- # structure : 2082
- # structure : 2083
- # structure : 2084
- # structure : 2085
- # structure : 2086
- # structure : 2087
- # structure : 2088
- # structure : 2089
- # structure : 2090
- # structure : 2091
- # structure : 2092
- # structure : 2093
- # structure : 2094
- # structure : 2095
- # structure : 2096
- # structure : 2097
- # structure : 2098
- # structure : 2099
- # structure : 2100
- # structure : 2101
- # structure : 2102
- # structure : 2103
- # structure : 2104
- # structure : 2105
- # structure : 2106
- # structure : 2107
- # structure : 2108
- # structure : 2109
- # structure : 2110
- # structure : 2111
- # structure : 2112
- # structure : 2113
- # structure : 2114
- # structure : 2115
- # structure : 2116
- # structure : 2117
- # structure : 2118
- # structure : 2119
- # structure : 2120
- # structure : 2121
- # structure : 2122
- # structure : 2123
- # structure : 2124
- # structure : 2125
- # structure : 2126
- # structure : 2127
- # structure : 2128
- # structure : 2129
- # structure : 2130
- # structure : 2131
- # structure : 2132
- # structure : 2133
- # structure : 2134
- # structure : 2135
- # structure : 2136
- # structure : 2137
- # structure : 2138
- # structure : 2139
- # structure : 2140
- # structure : 2141
- # structure : 2142
- # structure : 2143
- # structure : 2144
- # structure : 2145
- # structure : 2146
- # structure : 2147
- # structure : 2148
- # structure : 2149
- # structure : 2150
- # structure : 2151
- # structure : 2152
- # structure : 2153
- # structure : 2154
- # structure : 2155
- # structure : 2156
- # structure : 2157
- # structure : 2158
- # structure : 2159
- # structure : 2160
- # structure : 2161
- # structure : 2162
- # structure : 2163
- # structure : 2164
- # structure : 2165
- # structure : 2166
- # structure : 2167
- # structure : 2168
- # structure : 2169
- # structure : 2170
- # structure : 2171
- # structure : 2172
- # structure : 2173
- # structure : 2174
- # structure : 2175
- # structure : 2176
- # structure : 2177
- # structure : 2178
- # structure : 2179
- # structure : 2180
- # structure : 2181
- # structure : 2182
- # structure : 2183
- # structure : 2184
- # structure : 2185
- # structure : 2186
- # structure : 2187
- # structure : 2188
- # structure : 2189
- # structure : 2190
- # structure : 2191
- # structure : 2192
- # structure : 2193
- # structure : 2194
- # structure : 2195
- # structure : 2196
- # structure : 2197
- # structure : 2198
- # structure : 2199
- # structure : 2200
- # structure : 2201
- # structure : 2202
- # structure : 2203
- # structure : 2204
- # structure : 2205
- # structure : 2206
- # structure : 2207
- # structure : 2208
- # structure : 2209
- # structure : 2210
- # structure : 2211
- # structure : 2212
- # structure : 2213
- # structure : 2214
- # structure : 2215
- # structure : 2216
- # structure : 2217
- # structure : 2218
- # structure : 2219
- # structure : 2220
- # structure : 2221
- # structure : 2222
- # structure : 2223
- # structure : 2224
- # structure : 2225
- # structure : 2226
- # structure : 2227
- # structure : 2228
- # structure : 2229
- # structure : 2230
- # structure : 2231
- # structure : 2232
- # structure : 2233
- # structure : 2234
- # structure : 2235
- # structure : 2236
- # structure : 2237
- # structure : 2238
- # structure : 2239
- # structure : 2240
- # structure : 2241
- # structure : 2242
- # structure : 2243
- # structure : 2244
- # structure : 2245
- # structure : 2246
- # structure : 2247
- # structure : 2248
- # structure : 2249
- # structure : 2250
- # structure : 2251
- # structure : 2252
- # structure : 2253
- # structure : 2254
- # structure : 2255
- # structure : 2256
- # structure : 2257
- # structure : 2258
- # structure : 2259
- # structure : 2260
- # structure : 2261
- # structure : 2262
- # structure : 2263
- # structure : 2264
- # structure : 2265
- # structure : 2266
- # structure : 2267
- # structure : 2268
- # structure : 2269
- # structure : 2270
- # structure : 2271
- # structure : 2272
- # structure : 2273
- # structure : 2274
- # structure : 2275
- # structure : 2276
- # structure : 2277
- # structure : 2278
- # structure : 2279
- # structure : 2280
- # structure : 2281
- # structure : 2282
- # structure : 2283
- # structure : 2284
- # structure : 2285
- # structure : 2286
- # structure : 2287
- # structure : 2288
- # structure : 2289
- # structure : 2290
- # structure : 2291
- # structure : 2292
- # structure : 2293
- # structure : 2294
- # structure : 2295
- # structure : 2296
- # structure : 2297
- # structure : 2298
- # structure : 2299
- # structure : 2300
- # structure : 2301
- # structure : 2302
- # structure : 2303
- # structure : 2304
- # structure : 2305
- # structure : 2306
- # structure : 2307
- # structure : 2308
- # structure : 2309
- # structure : 2310
- # structure : 2311
- # structure : 2312
- # structure : 2313
- # structure : 2314
- # structure : 2315
- # structure : 2316
- # structure : 2317
- # structure : 2318
- # structure : 2319
- # structure : 2320
- # structure : 2321
- # structure : 2322
- # structure : 2323
- # structure : 2324
- # structure : 2325
- # structure : 2326
- # structure : 2327
- # structure : 2328
- # structure : 2329
- # structure : 2330
- # structure : 2331
- # structure : 2332
- # structure : 2333
- # structure : 2334
- # structure : 2335
- # structure : 2336
- # structure : 2337
- # structure : 2338
- # structure : 2339
- # structure : 2340
- # structure : 2341
- # structure : 2342
- # structure : 2343
- # structure : 2344
- # structure : 2345
- # structure : 2346
- # structure : 2347
- # structure : 2348
- # structure : 2349
- # structure : 2350
- # structure : 2351
- # structure : 2352
- # structure : 2353
- # structure : 2354
- # structure : 2355
- # structure : 2356
- # structure : 2357
- # structure : 2358
- # structure : 2359
- # structure : 2360
- # structure : 2361
- # structure : 2362
- # structure : 2363
- # structure : 2364
- # structure : 2365
- # structure : 2366
- # structure : 2367
- # structure : 2368
- # structure : 2369
- # structure : 2370
- # structure : 2371
- # structure : 2372
- # structure : 2373
- # structure : 2374
- # structure : 2375
- # structure : 2376
- # structure : 2377
- # structure : 2378
- # structure : 2379
- # structure : 2380
- # structure : 2381
- # structure : 2382
- # structure : 2383
- # structure : 2384
- # structure : 2385
- # structure : 2386
- # structure : 2387
- # structure : 2388
- # structure : 2389
- # structure : 2390
- # structure : 2391
- # structure : 2392
- # structure : 2393
- # structure : 2394
- # structure : 2395
- # structure : 2396
- # structure : 2397
- # structure : 2398
- # structure : 2399
- # structure : 2400
- # structure : 2401
- # structure : 2402
- # structure : 2403
- # structure : 2404
- # structure : 2405
- # structure : 2406
- # structure : 2407
- # structure : 2408
- # structure : 2409
- # structure : 2410
- # structure : 2411
- # structure : 2412
- # structure : 2413
- # structure : 2414
- # structure : 2415
- # structure : 2416
- # structure : 2417
- # structure : 2418
- # structure : 2419
- # structure : 2420
- # structure : 2421
- # structure : 2422
- # structure : 2423
- # structure : 2424
- # structure : 2425
- # structure : 2426
- # structure : 2427
- # structure : 2428
- # structure : 2429
- # structure : 2430
- # structure : 2431
- # structure : 2432
- # structure : 2433
- # structure : 2434
- # structure : 2435
- # structure : 2436
- # structure : 2437
- # structure : 2438
- # structure : 2439
- # structure : 2440
- # structure : 2441
- # structure : 2442
- # structure : 2443
- # structure : 2444
- # structure : 2445
- # structure : 2446
- # structure : 2447
- # structure : 2448
- # structure : 2449
- # structure : 2450
- # structure : 2451
- # structure : 2452
- # structure : 2453
- # structure : 2454
- # structure : 2455
- # structure : 2456
- # structure : 2457
- # structure : 2458
- # structure : 2459
- # structure : 2460
- # structure : 2461
- # structure : 2462
- # structure : 2463
- # structure : 2464
- # structure : 2465
- # structure : 2466
- # structure : 2467
- # structure : 2468
- # structure : 2469
- # structure : 2470
- # structure : 2471
- # structure : 2472
- # structure : 2473
- # structure : 2474
- # structure : 2475