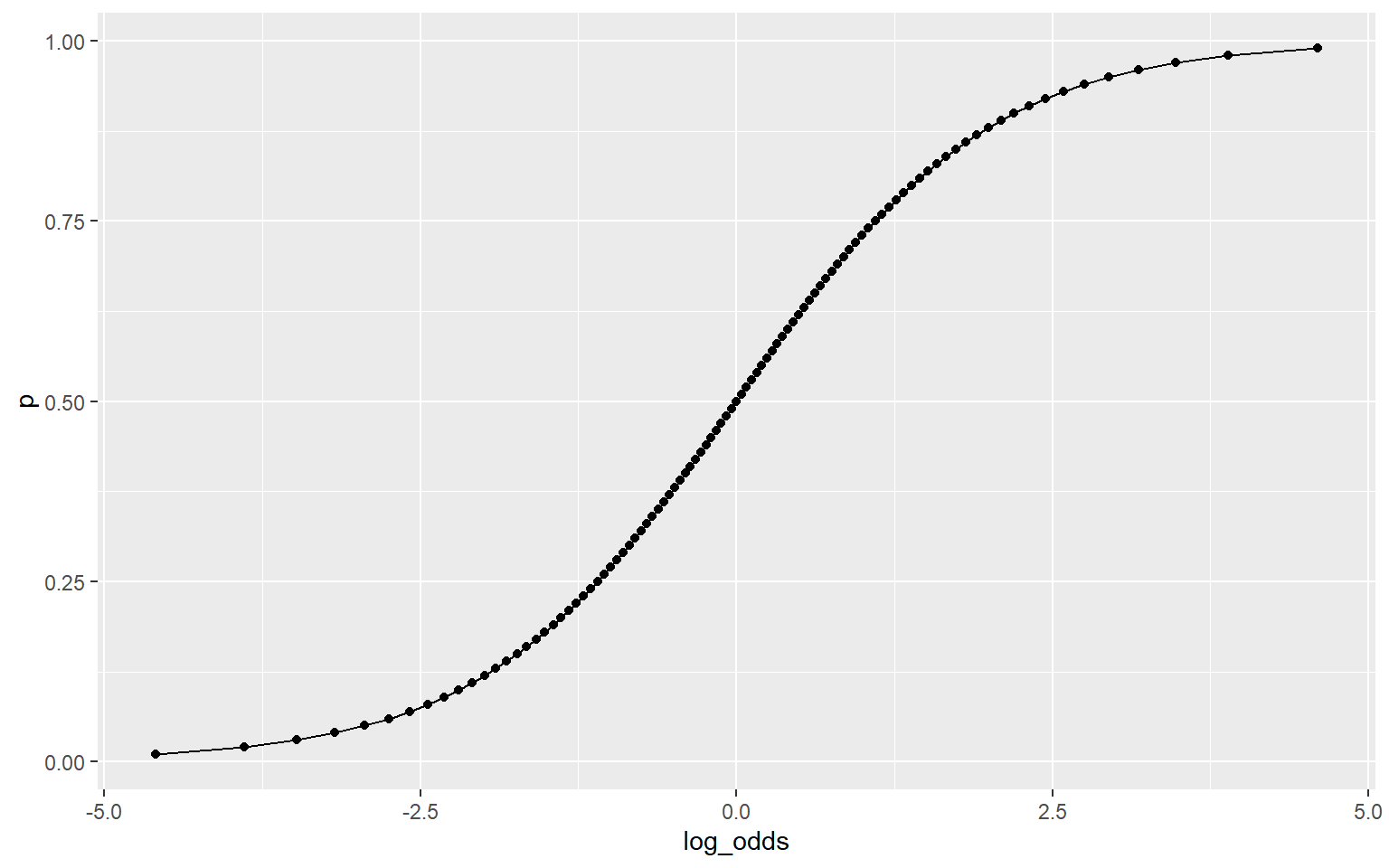
| p | odds | log_odds |
|---|---|---|
| 0.01 | 0.01 | -4.60 |
| 0.02 | 0.02 | -3.89 |
| 0.03 | 0.03 | -3.48 |
| 0.04 | 0.04 | -3.18 |
| 0.05 | 0.05 | -2.94 |
| 0.06 | 0.06 | -2.75 |
| 0.07 | 0.08 | -2.59 |
| 0.08 | 0.09 | -2.44 |
| 0.09 | 0.10 | -2.31 |
| 0.10 | 0.11 | -2.20 |
| 0.11 | 0.12 | -2.09 |
| 0.12 | 0.14 | -1.99 |
| 0.13 | 0.15 | -1.90 |
| 0.14 | 0.16 | -1.82 |
| 0.15 | 0.18 | -1.73 |
| 0.16 | 0.19 | -1.66 |
| 0.17 | 0.20 | -1.59 |
| 0.18 | 0.22 | -1.52 |
| 0.19 | 0.23 | -1.45 |
| 0.20 | 0.25 | -1.39 |
| 0.21 | 0.27 | -1.32 |
| 0.22 | 0.28 | -1.27 |
| 0.23 | 0.30 | -1.21 |
| 0.24 | 0.32 | -1.15 |
| 0.25 | 0.33 | -1.10 |
| 0.26 | 0.35 | -1.05 |
| 0.27 | 0.37 | -0.99 |
| 0.28 | 0.39 | -0.94 |
| 0.29 | 0.41 | -0.90 |
| 0.30 | 0.43 | -0.85 |
| 0.31 | 0.45 | -0.80 |
| 0.32 | 0.47 | -0.75 |
| 0.33 | 0.49 | -0.71 |
| 0.34 | 0.52 | -0.66 |
| 0.35 | 0.54 | -0.62 |
| 0.36 | 0.56 | -0.58 |
| 0.37 | 0.59 | -0.53 |
| 0.38 | 0.61 | -0.49 |
| 0.39 | 0.64 | -0.45 |
| 0.40 | 0.67 | -0.41 |
| 0.41 | 0.69 | -0.36 |
| 0.42 | 0.72 | -0.32 |
| 0.43 | 0.75 | -0.28 |
| 0.44 | 0.79 | -0.24 |
| 0.45 | 0.82 | -0.20 |
| 0.46 | 0.85 | -0.16 |
| 0.47 | 0.89 | -0.12 |
| 0.48 | 0.92 | -0.08 |
| 0.49 | 0.96 | -0.04 |
| 0.50 | 1.00 | 0.00 |
| 0.51 | 1.04 | 0.04 |
| 0.52 | 1.08 | 0.08 |
| 0.53 | 1.13 | 0.12 |
| 0.54 | 1.17 | 0.16 |
| 0.55 | 1.22 | 0.20 |
| 0.56 | 1.27 | 0.24 |
| 0.57 | 1.33 | 0.28 |
| 0.58 | 1.38 | 0.32 |
| 0.59 | 1.44 | 0.36 |
| 0.60 | 1.50 | 0.41 |
| 0.61 | 1.56 | 0.45 |
| 0.62 | 1.63 | 0.49 |
| 0.63 | 1.70 | 0.53 |
| 0.64 | 1.78 | 0.58 |
| 0.65 | 1.86 | 0.62 |
| 0.66 | 1.94 | 0.66 |
| 0.67 | 2.03 | 0.71 |
| 0.68 | 2.13 | 0.75 |
| 0.69 | 2.23 | 0.80 |
| 0.70 | 2.33 | 0.85 |
| 0.71 | 2.45 | 0.90 |
| 0.72 | 2.57 | 0.94 |
| 0.73 | 2.70 | 0.99 |
| 0.74 | 2.85 | 1.05 |
| 0.75 | 3.00 | 1.10 |
| 0.76 | 3.17 | 1.15 |
| 0.77 | 3.35 | 1.21 |
| 0.78 | 3.55 | 1.27 |
| 0.79 | 3.76 | 1.32 |
| 0.80 | 4.00 | 1.39 |
| 0.81 | 4.26 | 1.45 |
| 0.82 | 4.56 | 1.52 |
| 0.83 | 4.88 | 1.59 |
| 0.84 | 5.25 | 1.66 |
| 0.85 | 5.67 | 1.73 |
| 0.86 | 6.14 | 1.82 |
| 0.87 | 6.69 | 1.90 |
| 0.88 | 7.33 | 1.99 |
| 0.89 | 8.09 | 2.09 |
| 0.90 | 9.00 | 2.20 |
| 0.91 | 10.11 | 2.31 |
| 0.92 | 11.50 | 2.44 |
| 0.93 | 13.29 | 2.59 |
| 0.94 | 15.67 | 2.75 |
| 0.95 | 19.00 | 2.94 |
| 0.96 | 24.00 | 3.18 |
| 0.97 | 32.33 | 3.48 |
| 0.98 | 49.00 | 3.89 |
| 0.99 | 99.00 | 4.60 |




